Интегративная память и групповые симпатии
Способность воспринимать новое зависит от того, кто именно нам предоставляет информацию — «свои» или «чужие».
Наш мозг «запрограммирован» больше учиться у «своих» — людей, которые нам нравятся либо членов нашей социальной группы. И меньше у «чужих» — тех, кто нам не нравится. Это было подтверждено исследователями когнитивной нейронауки в серии опытов.
Память выполняет жизненно важную функцию, позволяя нам учиться новому и обновлять уже имеющиеся знания. Мы учимся как на индивидуальном опыте, так и на сочетании его с опытом других. Это позволяет узнавать новое о мире. В том числе и о вещах, с которыми мы не сталкиваемся непосредственно. Когнитивные механизмы позволяют нам делать выводы на основе пересекающихся, но различных событий. Это называется интеграцией памяти и делает обучение быстрым и гибким.
Инес Брамао (Inês Bramão), доцент кафедры психологии Лундского университета, приводит пример интеграции памяти:
«Скажем, вы гуляете в парке. Вы видите мужчину с собакой. Через несколько часов вы видите эту же собаку в городе с женщиной. Ваш мозг быстро устанавливает связь, что этот мужчина и женщина — пара, хотя вы никогда не видели их вместе.
Но, конечно, всегда есть риск, что наш мозг делает неправильные выводы или запоминает выборочно.
Для работы механизмов запоминания важно то, кто именно нам предоставляет информацию.
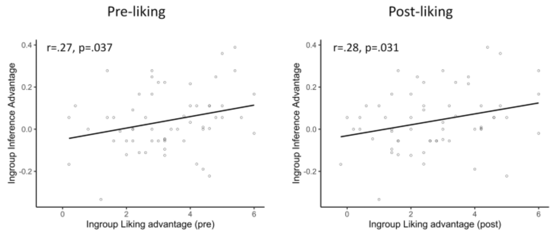
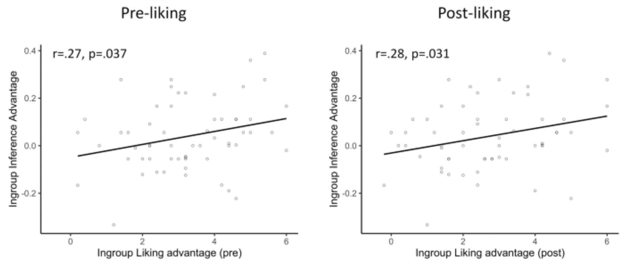
Чтобы исследовать, что влияет на нашу способность учиться и делать выводы, Инес Брамао вместе с коллегами Мариусом Бельцигом (Marius Boeltzig) и Микаэлем Йоханссоном (Mikael Johansson) провели эксперименты, в которых участники должны были запомнить и связать разные предметы. Это могли быть миска, мяч, ложка, ножницы или другие повседневные предметы.
Оказалось, что на интеграцию памяти, то есть способность запоминать и связывать информацию между обучающими событиями, влияло то, кто ее представлял. Если это был человек, который нравился участнику, связать информацию было легче — по сравнению с тем, когда информация поступала от кого-то, кто участнику не нравился.

Участники опыта предоставили индивидуальные определения понятий «нравится» и «не нравится» на основе таких аспектов как политические взгляды, специальность, пищевые привычки, любимые виды спорта, хобби и музыка.
Результаты исследования могут быть применены в реальной жизни, полагают исследователи. Инес Брамао приводит гипотетический пример из политики.
Политическая партия выступает за повышение налогов в пользу здравоохранения. Позже вы посещаете медицинский центр и замечаете там определенные улучшения. Если вы симпатизируете партии, которая хотела улучшить здравоохранение за счет повышения налогов, вы, скорее всего, припишете эти улучшения повышению налогов, даже если эти улучшения могли иметь совершенно другую причину.
Существует немало научных данных, которые описывают, что люди по-разному усваивают информацию в зависимости от источника.
«Наши исследования показывают, что эти важные явления частично можно связать с фундаментальными принципами, которые управляют работой нашей памяти», — говорит Микаэль Йоханссон, профессор психологии Лундского университета. — Мы более склонны формировать новые связи и обновлять знания на основе информации, представленной теми социальными группами, которые нам нравятся. Такие предпочитаемые группы обычно дают нам информацию, которая соответствует нашим ранее существовавшим убеждениям и идеям. Эта информация с большей вероятностью будет усвоена и включена в базу знаний. А наши первоначальные убеждения подтвердятся и еще больше укрепятся, создавая т.н. «партийное сознание» и усиливая групповую поляризацию».
Таким образом внутригрупповые предубеждения приводят к формированию воспоминаний, которые соответствуют преобладающим убеждениям группы. Когда люди делятся и обсуждают свои убеждения, воспоминания переплетаются и формируются под влиянием коллективной точки зрения. Такая податливая природа памяти может выполнять функцию социальной адаптации, позволяя содержанию нашего личного прошлого сливаться во время социальных взаимодействий, создавая коллективную идентичность, разделяемую людьми из одной и той же социальной группы.
Понимание корней поляризации, сопротивления новым знаниям и связанным с ними явлениям с точки зрения базовых функций мозга позволяет глубже понять эти сложные модели поведения. Ведь речь идет не только об информационных пузырях в социальных сетях, но и о врожденном способе усвоения информации.
«Особенно впечатляет то, что мы интегрируем информацию по-разному, в зависимости от того, кто нам ее сообщает, даже если информация абсолютно нейтральна. В реальной жизни, где информация часто вызывает более сильные реакции, эти эффекты могут быть еще более заметными», — подытоживает Микаэль Йоханссон.
Источники

